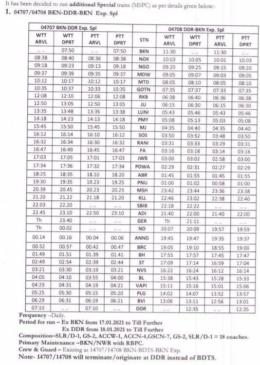
04707/08 बीकानेर दादर बीकानेर रणकपुर स्पेशल प्रतिदिन दिनांक 17/18 जनवरीसे शुरू की जा रही है। खास बात यह है, यह गाड़ी अब बांद्रा टर्मिनस के बजाय दादर – बीकानेर के बीच चलेगी।


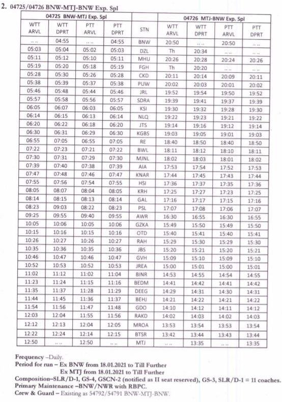
04725/26 भिवानी मथुरा भिवानी प्रतिदिन स्पेशल, जी, 54792/54791 भिवानी मथुरा सवारी गाड़ी का एक्सप्रेस में रूपांतरण, दोनों ओरसे दिनांक 18 जनवरीसे शुरू हो रही है।


09741/42 जयपुर बयाना जयपुर प्रतिदिन स्पेशल, जी आप ठीक समझे 59721/59722 सवारी गाड़ी का एक्सप्रेस में रूपांतरण, दोनों ओरसे दिनांक 18 जनवरीसे शुरू हो रही है।



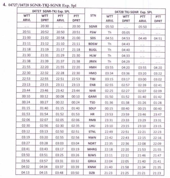
04727/28 श्रीगंगानगर तिलक ब्रिज श्रीगंगानगर प्रतिदिन स्पेशल, यह भी 54767/68 सवारी गाड़ी का ही एक्सप्रेस रूपांतरण है, दिनांक 18/19 से शुरू की जा रही है।



