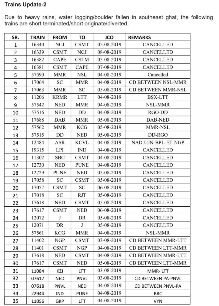
UncategorisedCentral Railway : 5th Aug 20195th Aug 2019 Rail Duniya Central Railway : Mumbai updates 05th August, 19.45 Share this: Share on WhatsApp (Opens in new window) WhatsApp Share on X (Opens in new window) X Share on Facebook (Opens in new window) Facebook Share on Telegram (Opens in new window) Telegram Email a link to a friend (Opens in new window) Email Like Loading... Related Published by Rail Duniya Rail Duniya is a magazine publishing all India train timings since 1988. View all posts by Rail Duniya