1: 09605/06 अजमेर जयपुर अजमेर डेमू विशेष सप्ताह में 6 दिन, 01 मार्च से शुरू होगी।

2: 09603/04 जयपुर सीकर जयपुर डेमू विशेष सप्ताह में 6 दिन, 01 मार्च से शुरू होगी।


3: 04839/40 जोधपुर बाड़मेर जोधपुर डेमू विशेष प्रतिदिन, 03/04 मार्च से शुरू होगी।

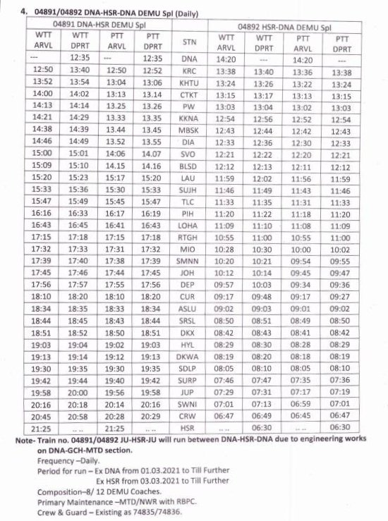
4: 04891/92 डेगाना हिसार डेगाना डेमू विशेष प्रतिदिन, 01/03 मार्च से शुरू होगी। यात्रीगण कृपया ध्यान दे, यह गाड़ी का नियोजन जोधपुर हिसार के बीच चलने का है परंतु डेगाना, गाच्छीपुरा, मेड़ता रोड मार्ग पर तकनीकी कारणोंके चलते यह गाड़ी कुछ दिनोंतक डेगाना हिसार के बीच चलाई जा रही है।

5: 04898/97 हिसार बीकानेर हिसार डेमू विशेष प्रतिदिन, 03 मार्च से शुरू होगी।

6: 04831/32 बीकानेर चुरू बीकानेर डेमू विशेष प्रतिदिन, 02 मार्च से शुरू होगी।


7: 04851/52 मेड़ता रोड रतनगढ मेड़ता रोड डेमू विशेष प्रतिदिन, 01/02 मार्च से शुरू होगी।


8: 04849/50 रतनगढ़ चुरू रतनगढ डेमू विशेष प्रतिदिन, 01/02 मार्च से शुरू होगी।

9: 04862/61 चुरू जयपुर चुरू डेमू विशेष प्रतिदिन, 01 मार्च से शुरू होगी।


10: 04860/59 चुरू सीकर चुरू डेमू विशेष प्रतिदिन, 02 मार्च से शुरू होगी।

11: 04893/94 जोधपुर पालनपुर जोधपुर डेमू विशेष प्रतिदिन, 04/05 मार्च से शुरू होगी।


12: 09791/92 जयपुर हिसार जयपुर डेमू स्पेशल, 01 मार्च प्रतिदिन चलना शुरू हो जाएगी।


