दक्षिण रेलवे की खुद अपने क्षेत्र 198 गाड़ियाँ और दक्षिण रेलवे से अन्य क्षेत्र में जाने, आने वाली 160 गाड़ियाँ 16 जून से चलने को तैयार है। आगे यह भी कहा गया है, निम्नलिखित गाड़ियोंकी यह सूची 30 जून तक वैलिड रहेंगी और अलग अलग राज्योंकी परिस्थितियों के अनुसार परिचालन की अवधि बढ़ाई या घटाई जाएगी।










पश्चिम रेलवे की 10 गाड़ियाँ जो दक्षिण रेलवे के शहरों को कनेक्ट कर रही है।

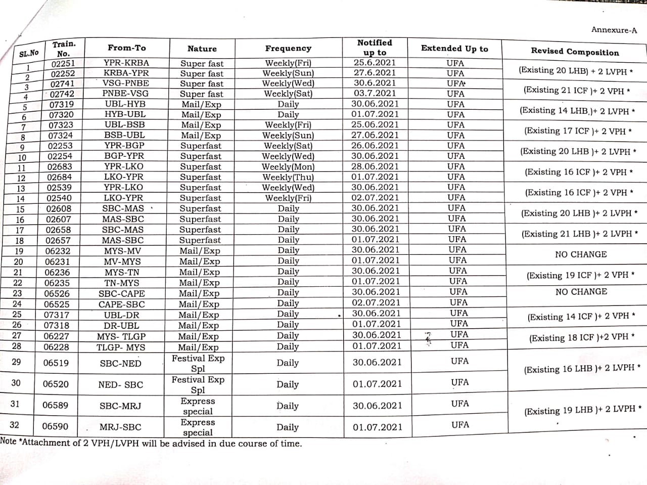
दक्षिण पश्चिम रेलवे की 54 गाड़ियोंकी सूची



उत्तर रेलवे की 21 जोड़ी याने 42 गाड़ियाँ है जो शुरू की जा रही है।



यह लगभग सभी गाड़ियाँ सम्पुर्ण आरक्षित आसन व्यवस्थाओके साथ चलाई जाएगी। यात्रिओंसे निवेदन है, रेलवे की आरक्षण टिकट की वेबसाइट http://www.irctc.co.in पर अपनी यात्रा सुनिश्चित करें।
