उत्तर पश्चिम रेल प्रशासन ने यह घोषणा की है, सवाई माधोपुर – जयपुर रेल खण्ड पुर्णतयः इलेक्ट्रीफाइड किया जा चुका है। इस मार्ग पर चलनेवाली सभी रेल गाड़ियाँ और 10 जोड़ी यात्री गाड़ियाँ एन्ड टू एन्ड याने अपने शुरवाती स्टेशन से लेकर गन्तव्य तक सीधे इलेक्ट्रिक लोको के चलाई जाएगी। गौरतलब यह है, इसमें न सिर्फ महंगे तेल का खर्च बचेगा बल्कि लोको बदलने से स्टाफ़ और गाड़ियोंके समय की भी बचत होगी। भारतीय रेल के सम्पूर्ण विद्युतीकरण कार्यक्रम का यह विद्युतीकरण एक हिस्सा है।
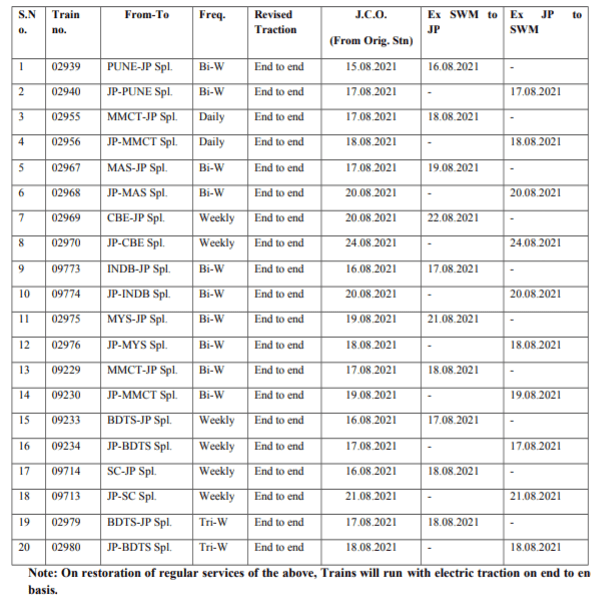
आइए देखते है, कौनसी गाड़ियाँ है जो एन्ड टू एन्ड इलेक्ट्रिक लोको से चलने वाली है।
1: 02939/40 पुणे जयपुर पुणे द्विसाप्ताहिक
2: 02955/56 मुम्बई सेंट्रल जयपुर मुम्बई सेंट्रल प्रतिदिन
3: 02967/68 चेन्नई सेंट्रल जयपुर चेन्नई सेंट्रल द्विसाप्ताहिक
4: 02969/70 कोयम्बटूर जयपुर कोयम्बटूर साप्ताहिक
5: 09773/74 इन्दौर जयपुर इन्दौर द्विसाप्ताहिक
6: 02975/76 मैसूरु जयपुर मैसूरु द्विसाप्ताहिक
7: 09229/30 मुम्बई सेंट्रल जयपुर मुम्बई सेंट्रल द्विसाप्ताहिक
8: 09233/34 बान्द्रा जयपुर बान्द्रा साप्ताहिक
9: 09714/13 सिकंदराबाद जयपुर सिकंदराबाद साप्ताहिक
10: 02979/80 बान्द्रा जयपुर बान्द्रा त्रिसाप्ताहिक

