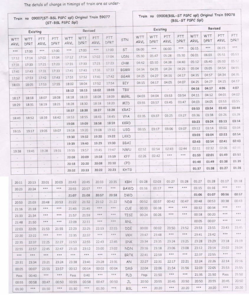
09007/08 सूरत भुसावल सूरत विशेष गाड़ी के समयसारणी में बदलाव किया जा रहा है। यह गाड़ी अब टिम्बरवा, काहेर, चिंचपाड़ा, किकाकुई रोड, लक्कड़कोट, भड़भूँजा, कोलड, खातगाव, ढेकवद इन स्टेशनोंपर दोनोंही दिशाओं में ठहराव लेगी। इस के चलते गाड़ी के समयसारणी में जो बदलाव हुवा है, वह निम्नलिखित परीपत्रक में दिया गया है।

