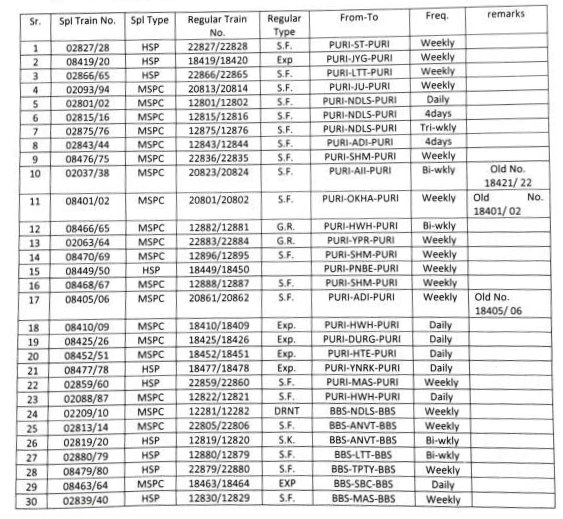
पूर्व तटीय रेलवे में दिनांक 15 नवम्बर से 76 जोड़ी MSPC मेल/एक्सप्रेस विशेष और HSP त्यौहार विशेष गाड़ियोंका नियमितीकरण किया जा रहा है। उपरोक्त गाड़ियोंके क्रमांक बदले जाएंगे साथ ही किराया श्रेणी भी नियमित की जाएगी।



पूर्व तटीय रेलवे में दिनांक 15 नवम्बर से 76 जोड़ी MSPC मेल/एक्सप्रेस विशेष और HSP त्यौहार विशेष गाड़ियोंका नियमितीकरण किया जा रहा है। उपरोक्त गाड़ियोंके क्रमांक बदले जाएंगे साथ ही किराया श्रेणी भी नियमित की जाएगी।


