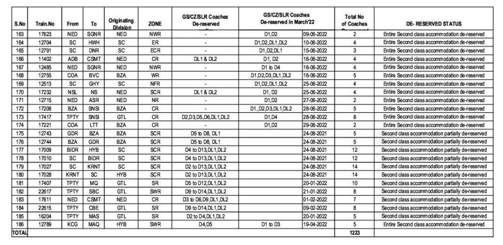
एक तरफ पश्चिम रेलवे WR ने अपने क्षेत्र से गुजरनेवाली इतर क्षेत्रीय रेलवे के स्वामित्व वाली 200 गाड़ियोंकी सूची जाहिर कर कह चुकी है, 01 जुलाई से ही उपरोक्त गाड़ियोंमे अनारक्षित द्वितीय श्रेणी शुरू हो पायेगी और अपने खुद के क्षेत्र की बहुत सी इण्टरसिटी/डेमू/मेमू गाड़ियोंको तो वे पहले ही अनारक्षित कर चुके है, बची का निर्णय जल्द हो जाएगा। इसी विषय मे आज हमारे पास द प रेल SWR और द म रेल SCR की ऐसी गाड़ियोंकी सूची आयी है, जिनके 2S कोच की अनारक्षित जनरल में पुनर्बहाली की जा रही है।
द प रेल SWR में अनारक्षित द्वितीय श्रेणी उपलब्ध रहने वाली गाड़िया :- यात्री गण कृपया सुविधा जारी किए जाने की तिथि पर ध्यान दें।

द म रेल SCR में अनारक्षित द्वितीय श्रेणी उपलब्ध रहने वाली गाड़िया :- यात्री गण कृपया सुविधा जारी किए जाने की तिथि पर ध्यान दें।



यात्रीगण एक बात विशेषतः जान ले, रेल प्रशासन ने जिन यात्रिओंने 2S में अग्रिम आरक्षण कर रखा है, उन्हें यह सूचना दे रही है, अपनी रेल यात्रा आरम्भ करने से पहले PNR स्टेटस चेक कर लें और यदि स्टेटस में ‘क्लास रदद् किया गया है’ या आरक्षण रदद् बता रहा है तो अपना टिकट रदद् कर पूरा रिफण्ड प्राप्त कर सकते है।

