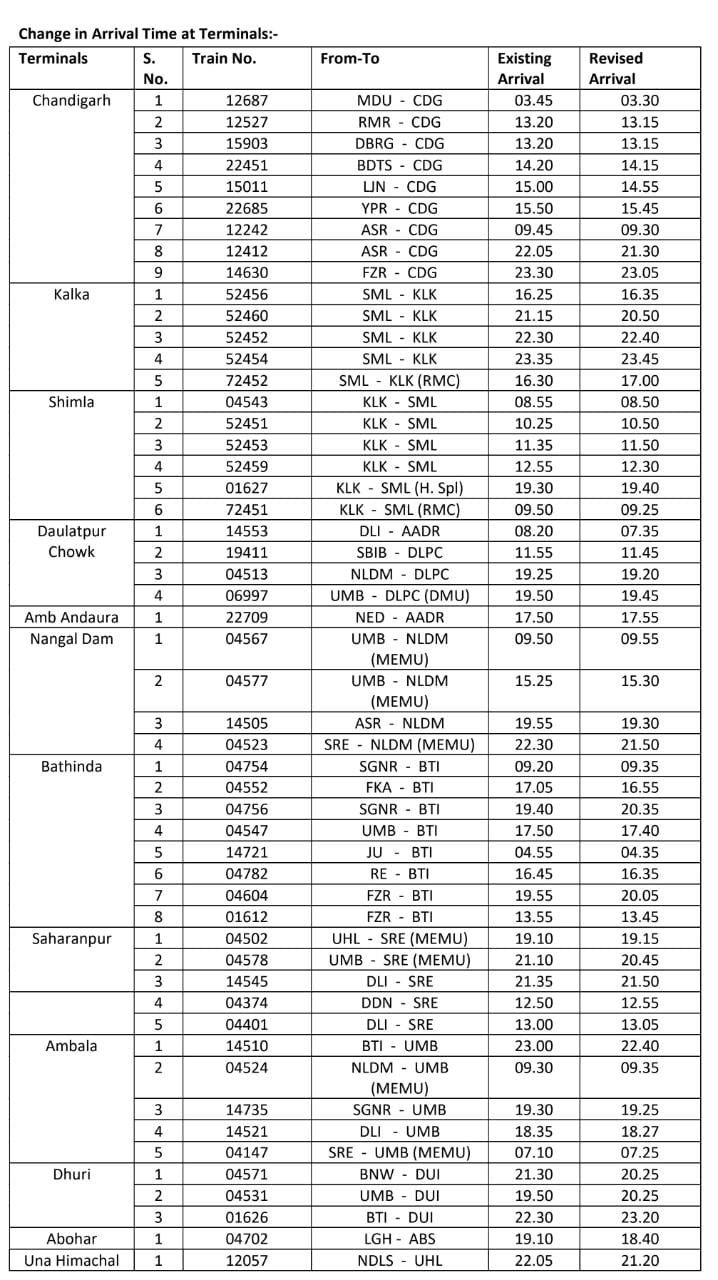
Uncategorisedनई समयसारणी 2022 : उत्तर रेलवे NR के अम्बाला मण्डल की कुछ झलकियाँ! 27th Sep 202227th Sep 2022 Rail Duniya Share this: Share on WhatsApp (Opens in new window) WhatsApp Share on X (Opens in new window) X Share on Facebook (Opens in new window) Facebook Share on Telegram (Opens in new window) Telegram Email a link to a friend (Opens in new window) Email Like Loading... Related Published by Rail Duniya Rail Duniya is a magazine publishing all India train timings since 1988. View all posts by Rail Duniya