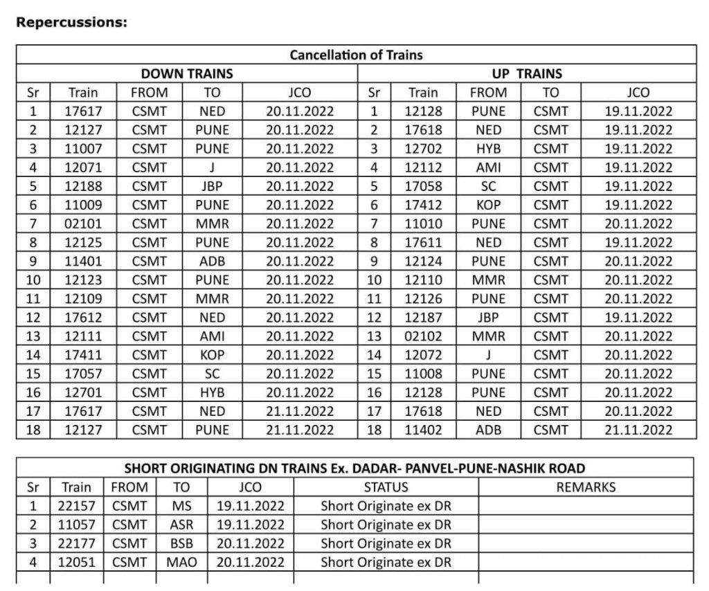
Uncategorisedमध्य रेल CR के मुम्बई – दादर के बीच पुराना कर्णाक पुलिया निकालने हेतु नवम्बर की 19/20 को लिया जाएगा रेल ब्लॉक; कई गाड़ियाँ रद्द, आँशिक रद्द 10th Nov 2022 Rail Duniya Share this: Share on WhatsApp (Opens in new window) WhatsApp Share on X (Opens in new window) X Share on Facebook (Opens in new window) Facebook Share on Telegram (Opens in new window) Telegram Email a link to a friend (Opens in new window) Email Like Loading... Related Published by Rail Duniya Rail Duniya is a magazine publishing all India train timings since 1988. View all posts by Rail Duniya