12 जून 2023, सोमवार, आषाढ, कृष्ण पक्ष, नवमी, विक्रम संवत 2080
चक्रवात ‘बिपरजॉय’ 12 जून से 15 जून के बीच गुजरात के कच्छ और तटीय इलाक़े में दस्तक दे सकता है। 150 kmph की गति से तेज़ हवाएं चलने की आशंका जताई जा रही है। ऐसे में पश्चिम रेलवे ने गुजरात के तटीय इलाकोंसे गुजरने वाली गाड़ियोंका परिचालन या तो रद्द किया है या उन्हें आँशिक रद्द किया है।
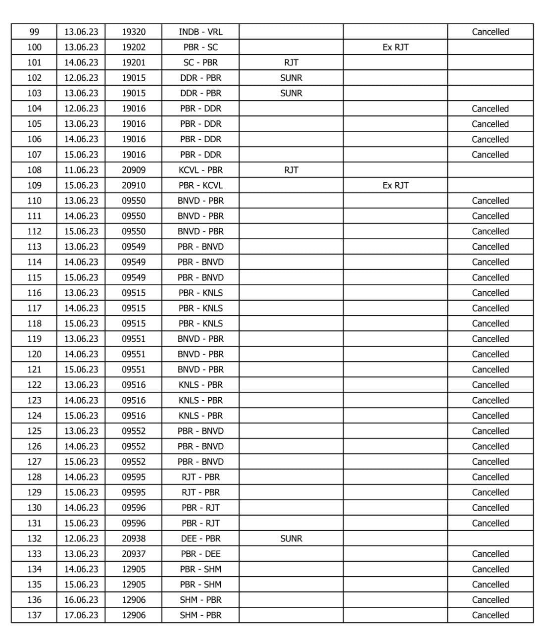
निम्नलिखित परिपत्रक देखिए,
137 गाड़ियोंकी सूची जारी की गई है। सूचीमे तिथि और गाड़ियोंके परिचालन की बदली व्यवस्था लिखी गयी है। यह पहला बुलेटिन है। यदि आवश्यकता रही तो और भी यात्री गाड़ियोंका परिचालन बदला जा सकता है और अलग से बुलेटिन जारी किया जाएगा।



