13 सितम्बर 2024, शुक्रवार, भाद्रपद, शुक्ल पक्ष, दशमी, विक्रम संवत 2081
भुज अहमदाबाद के बीच देश की पहली वन्दे मेट्रो शुरू होने के है। आज इसकी किराया तालिका भी घोषित हो गई है।
भुज – अहमदाबाद : 358km एकल यात्रा के लिए ₹430/-, साप्ताहिक पास के लिए ₹ 3010/-, पाक्षिक पास के लिए ₹6444/- एवं मासिक पास के लिए ₹ 8592/- लगेंगे। इसमे अन्य चार्जेस जैसे सेफ्टी सरचार्ज ई. एवं GST अलगसे लागू रह सकता है।
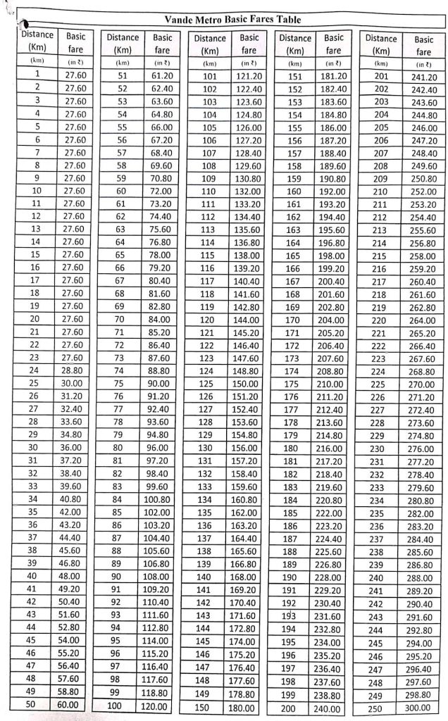
वन्दे मेट्रो के लिए न्यूनतम किराए ₹30/- GST सहित रहेंगे।
वन्दे मेट्रो के लिए साप्ताहिक पास के लिए सात एकल यात्राएं, पखवाड़े के लिए पंधरह एकल यात्राएं और मासिक पास के लिए बीस एकल यात्राओंका किराया लगाया जाएगा। इसमे अन्य चार्जेस जैसे सेफ्टी सरचार्ज ई. एवं GST अलगसे लागू रहेगा। सभी किराए ₹5/- में राउंड ऑफ किए जाएंगे। बच्चोंकी टिकट, टिकट रद्दीकरण के लिए सभी नियम यथावत रहेंगे। इस गाड़ी के लिए कोई भी रियायत टिकट लागू नही रहेंगी।


वन्दे मेट्रो के लिए एकल यात्रा किराए (सिंगल जर्नी टिकट)


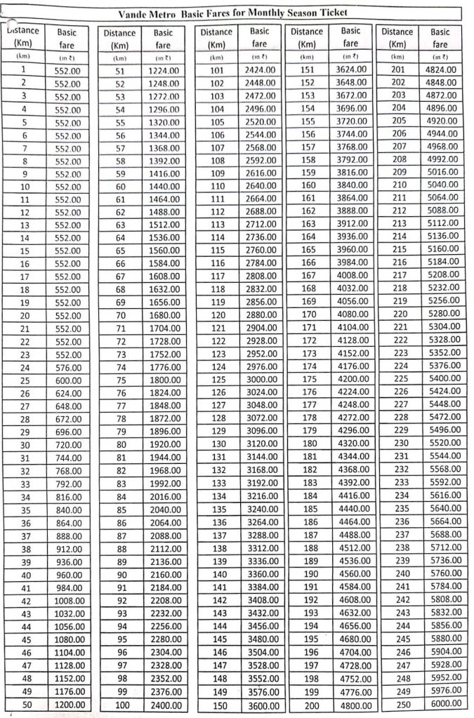
वन्दे मेट्रो की मासिक पास MST


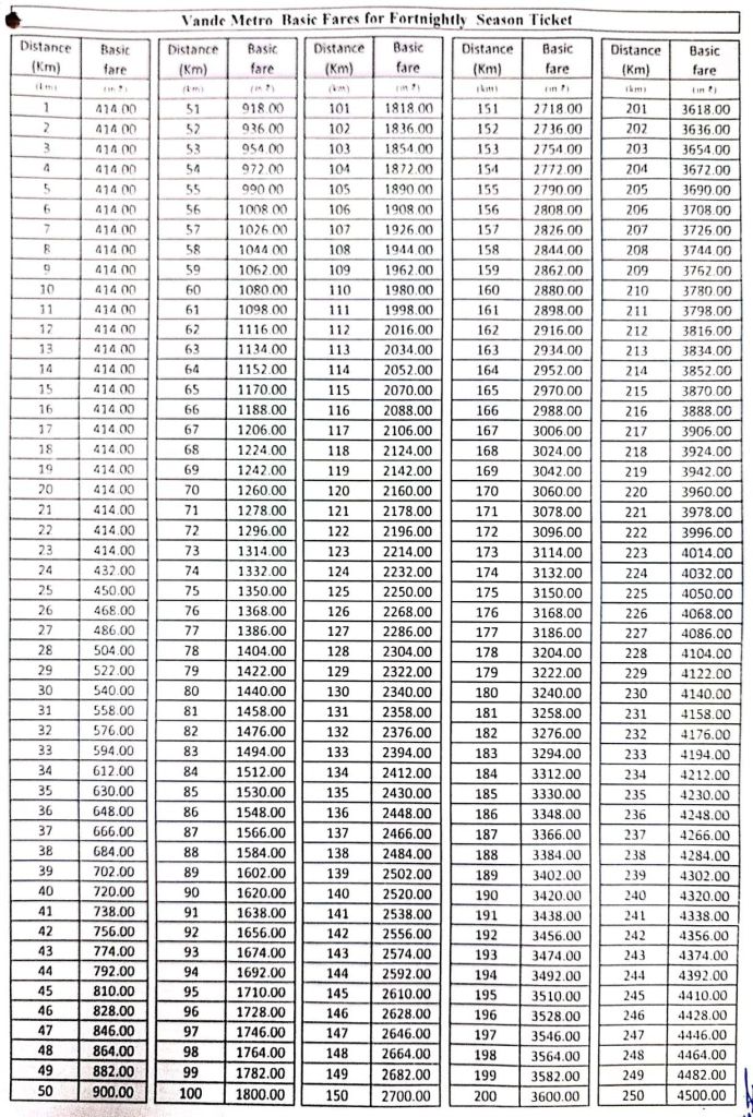
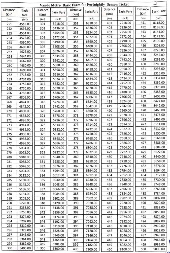
वन्दे मेट्रो की पाक्षिक पास (पन्द्रह दिन)


वन्दे मेट्रो की साप्ताहिक पास (सात दिन)


