28 दिसंबर 2024, शनिवार, पौष, कृष्ण पक्ष, त्रयोदशी, विक्रम संवत 2081
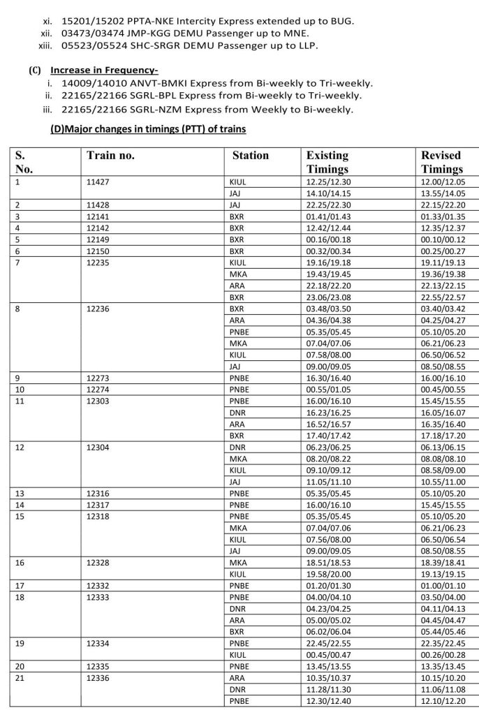
भारतीय रेल की समयसारणी 01 जनवरी 2025 से बदली जा रही है। सभी गाड़ियोंमे किए गए बदलाव NTES नैशनल ट्रेन इन्क्वायरी सिस्टम पर दिनांक 01 जनवरी 2025 पर उपलब्ध हो जाएंगे। इसमे पूर्व मध्य रेल ECR द्वारा किए जाने वाले बदलावों के प्रमुख अंश..












