27 फरवरी 2025, गुरुवार, फाल्गुन, कृष्ण पक्ष, चतुर्दशी, विक्रम संवत 2081
मध्य रेलवे प्रमुख मार्गों पर 48 अतिरिक्त होली स्पेशल सेवाएँ चलाएगा। इन विशेष गाड़ियोंका उद्देश्य यात्रियों के लिए सुगम और आरामदायक यात्रा सुनिश्चित करना है। ये विशेष गाड़ियाँ निम्नलिखित स्टेशनोंके बीच चलेंगी।
🔹 मुंबई – मऊ / दानापुर / बनारस / समस्तीपुर / कन्याकुमारी / तिरुवनंतपुरम
🔹 पुणे – गाजीपुर / दानापुर / हजरत निजामुद्दीन
1) मुम्बई लोकमान्य तिलक टर्मिनस एलटीटी – दानापुर – मुम्बई लोकमान्य तिलक टर्मिनस एलटीटी द्वि-साप्ताहिक विशेष (6 फेरे)
01009 द्वि-साप्ताहिक विशेष 10.03.2025, 15.03.2025 और 17.03.2025 को एलटीटी मुंबई से 12:15 बजे रवाना होगी और अगले दिन 17:00 बजे दानापुर पहुँचेगी। (3 यात्राएँ)
01010 द्वि-साप्ताहिक विशेष दानापुर से 11.03.2025, 16.03.2025 और 18.03.2025 को 18.15 बजे प्रस्थान करेगी और तीसरे दिन 04.40 बजे एलटीटी मुंबई पहुंचेगी। (3 यात्राएँ)
पड़ाव: ठाणे, कल्याण, इगतपुरी, नासिक रोड, जलगांव, भुसावल, खंडवा, पिपरिया,
नरसिंहपुर, मदन महल, कटनी, मैहर, सतना, मानिकपुर, प्रयागराज छिवकी, पं. दीन दयाल उपाध्याय जं.,बक्सर एवं आरा।
संरचना:, 06 स्लीपर क्लास, 9 एसी-III टियर, एक एसी-2 टियर, एक एसी-2 टियर सह एसी-III टियर, 3 सामान्य द्वितीय श्रेणी और 2 द्वितीय श्रेणी-सह-सामान-सह गार्ड के कोच (22 कोच)।

2) मुम्बई लोकमान्य तिलक टर्मिनस एलटीटी – मऊ – मुम्बई लोकमान्य तिलक टर्मिनस एलटीटी द्वि-साप्ताहिक विशेष (8 फेरे)
01123 द्वि-साप्ताहिक विशेष 07.03.2025, 09.03.2025, 14.03.2025, 16.03.2025 (4 फेरे) को 12:15 बजे लोकमान्य तिलक टर्मिनस से रवाना होगी और अगले दिन 20:20 बजे मऊ पहुंचेगी।
01124 द्वि-साप्ताहिक विशेष 09.03.2025, 11.03.2025, 16.03.2025, 18.03.2025 (4 फेरे) को 05.50 बजे मऊ से रवाना होगी और अगले दिन 16.45 बजे लोकमान्य तिलक टर्मिनस पहुंचेगी।
पड़ाव: ठाणे, कल्याण, इगतपुरी, नासिक रोड, जलगांव, भुसावल, खंडवा, पिपरिया,
नरसिंहपुर, मदन महल, कटनी, मैहर, सतना, मानिकपुर, प्रयागराज छिवकी, वाराणसी जंक्शन, जौनपुर जंक्शन और औंरिहार।
संरचना: 06 स्लीपर क्लास, 9 एसी-III टियर, एक एसी-2 टियर, एक एसी-2 टियर सह एसी-III टियर, 3 सामान्य द्वितीय श्रेणी जिसमें 1 जेनरेटर कार और 2 द्वितीय श्रेणी-सह-सामान-सह गार्ड कोच (22 कोच)।

3) मुम्बई लोकमान्य तिलक टर्मिनस एलटीटी – वाराणसी – मुम्बई लोकमान्य तिलक टर्मिनस एलटीटी द्वि-साप्ताहिक विशेष (4 फेरे)
01053 द्वि-साप्ताहिक विशेष ट्रेन 12.03.2025 और 13.03.2025 को 12.15 बजे लोकमान्य तिलक टर्मिनस से रवाना होगी (2 फेरे) और अगले दिन 16.05 बजे बनारस पहुंचेगी।
01054 द्वि-साप्ताहिक विशेष ट्रेन 13.03.2025 और 14.03.2025 को 20.30 बजे बनारस से रवाना होगी (2 फेरे) और तीसरे दिन 04.40 बजे लोकमान्य तिलक टर्मिनस पहुंचेगी।
पड़ाव: ठाणे, कल्याण, इगतपुरी, नासिक रोड, जलगांव, भुसावल, खंडवा, पिपरिया,
नरसिंहपुर, मदन महल, कटनी, मैहर, सतना, मानिकपुर, प्रयागराज छिवकी और वाराणसी जंक्शन।
संरचना: संरचना: 06 स्लीपर क्लास, 9 एसी-III टियर, एक एसी-2 टियर, एक एसी-2 टियर सह एसी-III टियर, 3 सामान्य द्वितीय श्रेणी और 2 द्वितीय श्रेणी-सह-सामान-सह गार्ड के कोच (22 कोच)।

4) पुणे – दानापुर- पुणे द्वि-साप्ताहिक विशेष (6 फेरे)
01481 पुणे – दानापुर द्वि-साप्ताहिक विशेष 10.03.2025, 14.03.2025 और 17.03.2025 को 19:55 बजे पुणे से रवाना होगी और तीसरे दिन 05:00 बजे दानापुर पहुंचेगी (3 फेरे)।
01482 दानापुर – पुणे द्वि-साप्ताहिक विशेष 12.03.2025, 16.03.2025 और 19.03.2025 को 06:45 बजे दानापुर से रवाना होगी और अगले दिन 17:35 बजे पुणे पहुंचेगी। (3 फेरे)।
पड़ाव : दौंड कॉर्ड केबिन, अहमदनगर, कोपरगांव, मनमाड, जलगांव, भुसावल, इटारसी, पिपरिया, नरसिंहपुर, मदन महल, कटनी, मैहर, सतना, मानिकपुर, प्रयागराज छिवकी, दीन दयाल उपाध्याय जंक्शन, बक्सर और आरा।
संरचना: 01 एसी 2-टियर, 07 एसी 3-टियर, 08 स्लीपर क्लास, 04 जनरल सेकंड क्लास, 02 लगेज कम गार्ड ब्रेक वैन (22 कोच)

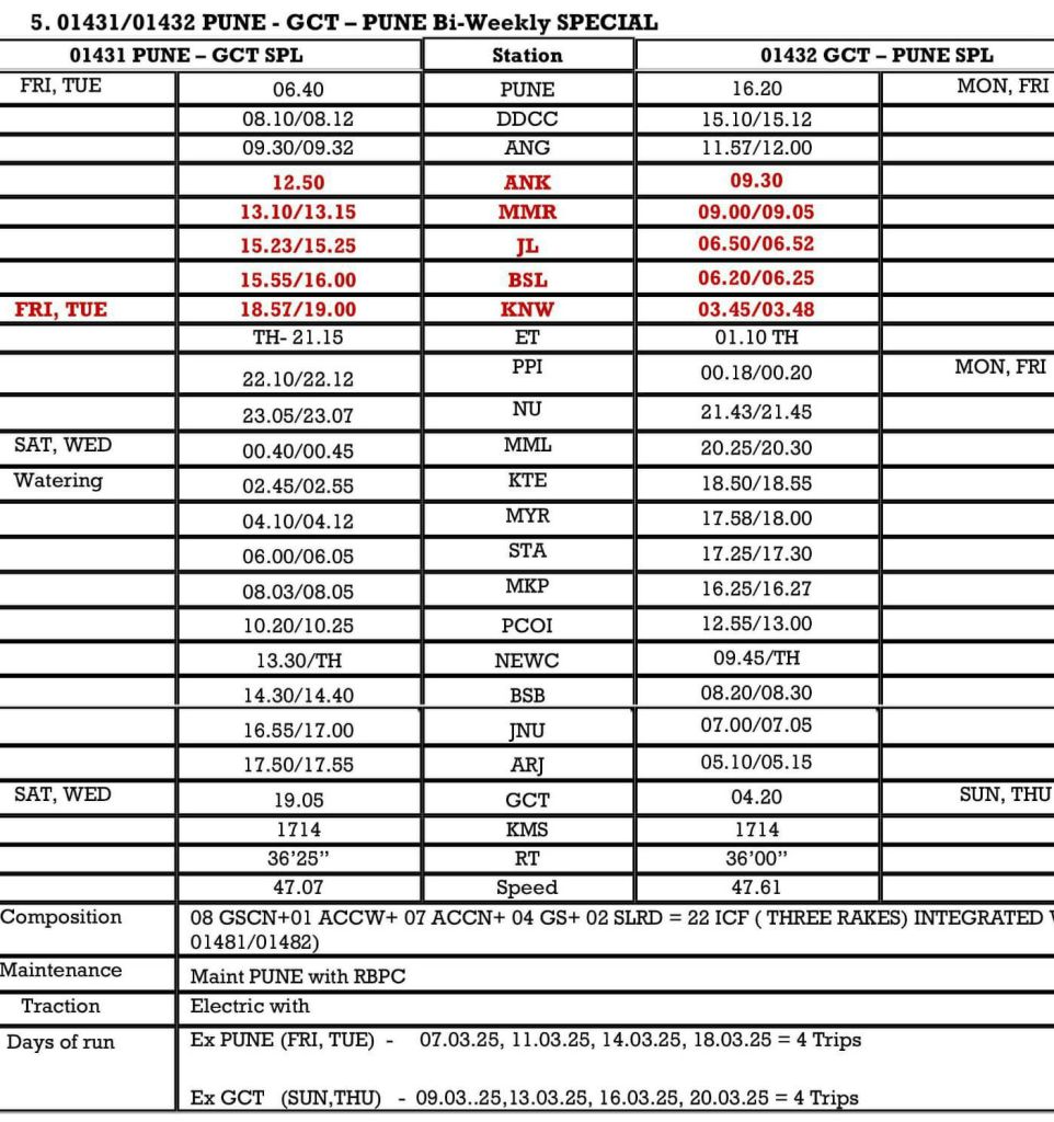
5) पुणे – गाजीपुर सिटी – पुणे द्वि-साप्ताहिक विशेष (8 फेरे)
01431 पुणे – गाजीपुर सिटी द्वि-साप्ताहिक विशेष 07.03.2025, 11.03.2025, 14.03.2025 और 18.03.2025 को पुणे से 06:40 बजे रवाना होगी और अगले दिन 19:05 बजे गाजीपुर सिटी पहुंचेगी (4 फेरे)।
01432 ग़ाज़ीपुर सिटी – पुणे द्वि-साप्ताहिक विशेष 09.03.2025, 13.03.2025, 16.03.2025 और 20.03.2025 को 04:20 बजे ग़ाज़ीपुर सिटी से रवाना होगी और अगले दिन 16:20 बजे पुणे पहुंचेगी (4 यात्राएँ)।
हाल्ट: दौंड कॉर्ड केबिन, अहमदनगर, मनमाड, जलगांव, भुसावल, खंडवा, पिपरिया, नरसिंहपुर, मदन महल, कटनी, मैहर, सतना, मानिकपुर, प्रयागराज छिवकी, वाराणसी, जौनपुर और औंरिहार जंक्शन।
संरचना: 01 एसी 2-टियर, 07 एसी 3-टियर, 08 स्लीपर क्लास, 04 जनरल सेकंड क्लास, 02 लगेज कम गार्ड ब्रेक वैन (22 कोच)

6) मुम्बई लोकमान्य तिलक टर्मिनस एलटीटी – समस्तीपुर- मुम्बई लोकमान्य तिलक टर्मिनस एलटीटी द्वि-साप्ताहिक विशेष (4 फेरे)
01043 साप्ताहिक विशेष, मंगलवार 11.03.2025 और 18.03.2025 को 12.15 बजे लोकमान्य तिलक टर्मिनस से रवाना होगी (2 फेरे) और अगले दिन 21.15 बजे समस्तीपुर पहुंचेगी।
01044 साप्ताहिक विशेष, बुधवार 12.03.2025 और 19.03.2025 को 23.20 बजे समस्तीपुर से रवाना होगी (2 फेरे) और अगले दिन 11.00 बजे लोकमान्य तिलक टर्मिनस पहुंचेगी।
पड़ाव: ठाणे, कल्याण, इगतपुरी, नासिक रोड, जलगांव, भुसावल, खंडवा, पिपरिया,
नरसिंहपुर, मदन महल, कटनी, मैहर, सतना, मानिकपुर, प्रयागराज छिवकी, पं. दीन दयाल उपाध्याय जंक्शन, बक्सर, आरा, दानापुर, पाटलिपुत्र जंक्शन, हाजीपुर और मुजफ्फरपुर।
संरचना: एक एसी फर्स्ट क्लास, तीन एसी-2 टियर, 15 एसी-3 टियर, 1 पेंट्री कार, 2 लगेज कम ब्रेक वैन। (22 कोच)।

7) पुणे – हज़रत निज़ामुद्दीन – पुणे साप्ताहिक सुपरफ़ास्ट विशेष (4 फेरे)
01491 साप्ताहिक सुपरफ़ास्ट विशेष, शुक्रवार 07.03.2025 और 14.03.2025 को 17.30 बजे पुणे से रवाना होगी और अगले दिन 18.10 बजे हज़रत निज़ामुद्दीन पहुँचेगी। (2 फेरे)
01492 साप्ताहिक सुपरफ़ास्ट विशेष शनिवार 08.03.2025 और 15.03.2025 को 22.10 बजे हज़रत निज़ामुद्दीन से रवाना होगी और अगले दिन 23.55 बजे पुणे पहुँचेगी। (2 फेरे)
ठहराव: लोनावला, कल्याण, भिवंडी रोड, वसई रोड, पालघर, वापी, वलसाड, उधना जंक्शन, वडोदरा, रतलाम, भवानी मंडी, सवाई माधोपुर और मथुरा जंक्शन।
संरचना: 01 एसी 2-टियर, 04 एसी 3-टियर, 11 स्लीपर क्लास, 04 जनरल सेकंड क्लास, 02 लगेज कम गार्ड ब्रेक वैन (22 कोच)।
8) मुम्बई छत्रपति शिवाजी महाराज टर्मिनस – कन्याकुमारी – मुम्बई छत्रपति शिवाजी महाराज टर्मिनस द्वि-साप्ताहिक सुपरफास्ट स्पेशल (4 फेरे)
01005 द्वि-साप्ताहिक सुपरफास्ट विशेष मुम्बई से सोमवार 10.03.2025 और 17.03.2025 को 00.20 बजे रवाना होगी और अगले दिन 12.15 बजे कन्याकुमारी पहुंचेगी। (2 फेरे)
01006 द्वि-साप्ताहिक सुपरफास्ट विशेष, कन्याकुमारी से मंगलवार 11.03.2025 और 18.03.2025 को 14.15 बजे रवाना होगी और तीसरे दिन 04.15 बजे मुम्बई पहुंचेगी। (2 यात्राएँ)
हॉल्ट: दादर, ठाणे, कल्याण, लोनावाला, पुणे, दौंड, सोलापुर, कालाबुरागी, वाडी, कृष्णा, रायचूर, मंत्रालयम रोड, अडोनी, गुंतकल, गूटी, ताड़ीपत्री, येरागुंटला, कडप्पा, रज़ामपेट, रेनिगुंटा, तिरुत्तानी, कटपाडी, वेल्लोर छावनी, तिरुवन्नमलाई, थिरुक्कोविलुर, विल्लुपुरन, वृद्धाचलम जंक्शन। अरियालुर, तिरुचिरापल्ली जंक्शन, डिंडीगुल जंक्शन, कुदाल नगर, मदुरै जंक्शन, विरुधुनगर जंक्शन, सतुर, कोविलपट्टी, तिरुनेलवेली जंक्शन, वल्लियूर और नागरकोइल जंक्शन।
संरचना: दो एसी-2 टियर, 09 एसी-3 टियर, 05 स्लीपर क्लास, 02 जनरल सेकेंड क्लास, 2 लगेज कम ब्रेक वैन। (20 कोच)
