
देवशयनी आषाढ़ी एकादशी निमित्त, रेल विभाग की ‘वारी विशेष’ गाड़ियाँ!
10 जून 2025, मंगलवार, जेष्ठ, शुक्ल पक्ष, पौर्णिमा, विक्रम संवत 2082
हेडिंग में दरअसल यह वारी में होनेवाला जयघोष लिखा गया है। सारे वारकरी वारी में जगह जगह से पैदल चलते हुए, यह जयघोष करते हुए पांडुरंग माउली के दर्शन हेतु देवशयनी एकादशी को पंढरपुर पहुंचने की चाह रखते है। मध्य रेल प्रशासन पंढरपुर के लिए आठ जोड़ी ‘वारी विशेष’ गाड़ियाँ चला रहा है। इन सेवाओं में कुछ गाड़ियाँ अनारक्षित भी चलाई जायेंगी।
1 : 01205/06 नागपुर – मिरज – नागपुर विशेष के 2 – 2 कुल 4 फेरे वाया भुसावल, मनमाड़, दौंड, कुर्डुवाड़ी, पंढरपुर
01205 विशेष नागपुर से दिनांक 4, 5 जुलाई को मिरज के लिए सुबह 08:50 रवाना होगी और सुबह 8:00 बजे पंढरपुर, 11:35 को मिरज पहुँचेंगी। वापसी में 01206 विशेष मिरज से दिनांक 5, 6 जुलाई को नागपुर के लिए दोपहर 12:55 रवाना होगी, शाम 17:00 बजे पंढरपुरसे रवाना होगी और अगले दिन, दोपहर 12:25 को नागपुर पहुँचेंगी।
स्टोपेजेस : अजनी, वर्धा, पुलगांव, धामणगांव, चांदूर, बड़नेरा, मुर्तिजापुर, अकोला, शेगाव, मलकापुर, भुसावल, जलगाँव, चालीसगांव, मनमाड़, कोपरगाँव, बेलापुर, अहमदनगर, दौंड जंक्शन, कुर्डुवाड़ी, पंढरपुर, सांगोळा, म्हसोबा डोंगरगांव, जत रोड, ढालगांव, कवठे महाँकाल, सालागरे, अरग
कोच संरचना : 02 वातानुकूलित थ्री टियर, 10 स्लिपर, 04 द्वितीय साधारण जनरल, 02 एसएलआर, कुल 18 ICF कोच

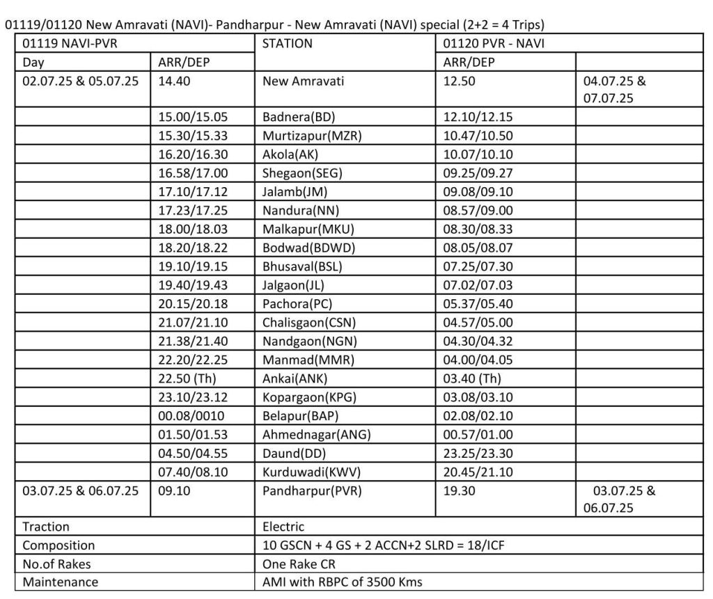
2 : 01119/20 नई अमरावती – पंढरपुर – नई अमरावती विशेष के 2 – 2 कुल 4 फेरे वाया भुसावल, मनमाड़, दौंड, कुर्डुवाड़ी
01119 विशेष नई अमरावती से दिनांक 2, 5 जुलाई को पंढरपुर के लिए 14:40 पर रवाना होगी और सुबह 9:10 बजे पंढरपुर पहुँचेंगी। वापसी में 01120 विशेष पंढरपुर से दिनांक 3, 6 जुलाई को नई अमरावती के लिए 19:30 पर रवाना होगी और अगले दिन, दोपहर 12:50 को नई अमरावती पहुँचेंगी।
स्टोपेजेस : बड़नेरा, मुर्तिजापुर, अकोला, शेगाव, जलम्ब, नंदुरा, मलकापुर, बोदवड, भुसावल, जलगाँव, पाचोरा, चालीसगांव, नांदगांव, मनमाड़, कोपरगाँव, बेलापुर, अहमदनगर, दौंड जंक्शन, कुर्डुवाड़ी
कोच संरचना : 02 वातानुकूलित थ्री टियर, 10 स्लिपर, 04 द्वितीय साधारण जनरल, 02 एसएलआर, कुल 18 ICF कोच

3 : 01121/22 खामगांव – पंढरपुर – खामगांव विशेष के 2 – 2 कुल 4 फेरे वाया भुसावल, मनमाड़, दौंड, कुर्डुवाड़ी
01121 विशेष खामगांव से दिनांक 3, 6 जुलाई को पंढरपुर के लिए 13:30 पर रवाना होगी और प्रातः 3:30 बजे पंढरपुर पहुँचेंगी। वापसी में 01122 विशेष पंढरपुर से दिनांक 4, 7 जुलाई को खामगांव के लिए 05:00 पर रवाना होगी और अगले दिन, शाम 19:30 को खामगांव पहुँचेंगी।
स्टोपेजेस : जलम्ब, नंदुरा, मलकापुर, बोदवड, भुसावल, जलगाँव, पाचोरा, चालीसगांव, नांदगांव, मनमाड़, कोपरगाँव, बेलापुर, अहमदनगर, दौंड जंक्शन, कुर्डुवाड़ी
कोच संरचना : 02 वातानुकूलित थ्री टियर, 10 स्लिपर, 04 द्वितीय साधारण जनरल, 02 एसएलआर, कुल 18 ICF कोच


4 : 01159/60 भुसावल – पंढरपुर – भुसावल अनारक्षित विशेष के 1 – 1 कुल 2 फेरे वाया भुसावल, मनमाड़, दौंड, कुर्डुवाड़ी
01159 विशेष भुसावल से दिनांक 7 जुलाई को पंढरपुर के लिए 13:30 पर रवाना होगी और प्रातः 3:30 बजे पंढरपुर पहुँचेंगी। वापसी में 01160 विशेष पंढरपुर से दिनांक 8 जुलाई को भुसावल के लिए रात 22:30 पर रवाना होगी और अगले दिन, दोपहर 13:00 को भुसावल पहुँचेंगी।
स्टोपेजेस : जलगाँव, पाचोरा, चालीसगांव, नांदगांव, मनमाड़, कोपरगाँव, बेलापुर, अहमदनगर, दौंड जंक्शन, कुर्डुवाड़ी
कोच संरचना : 16 द्वितीय साधारण जनरल, 02 एसएलआर, कुल 18 ICF कोच

5 : 01101/02 लातूर रोड – पंढरपुर – लातूर रोड अनारक्षित विशेष के 5 – 5 कुल 10 फेरे वाया उस्मानाबाद, बार्शी टाउन, कुर्डुवाड़ी
01101 विशेष लातूर रोड से दिनांक 2, 4, 7, 8 और 9 जुलाई को पंढरपुर के लिए 07:30 पर रवाना होगी और 12:50 बजे पंढरपुर पहुँचेंगी। वापसी में 01102 विशेष पंढरपुर से दिनांक 2, 4, 7, 8 और 9 जुलाई को 13:50 पर रवाना होगी और शाम 19:30 को लातूर रोड पहुँचेंगी।
कोच संरचना : 08 स्लिपर, 04 द्वितीय साधारण जनरल, 02 एसएलआर, कुल 18 ICF कोच (04 वातानुकूलित कोच बन्द अवस्था मे)


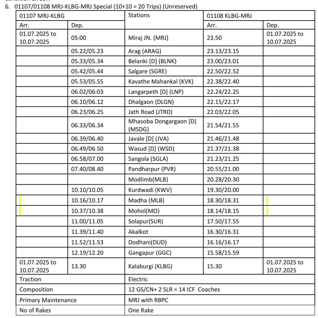
6 : 01107/08 मिरज – कलबुर्गी – मिरज प्रतिदिन अनारक्षित विशेष के 10 – 10 कुल 20 फेरे वाया पंढरपुर, कुर्डुवाड़ी, सोलापुर
01107 विशेष मिरज से दिनांक 01 से 10 जुलाई तक प्रतिदिन पंढरपुर के लिए प्रातः 05:00 पर रवाना होगी और पंढरपुर होते हुए 13:30 बजे कलबुर्गी पहुँचेंगी। वापसी में 01108 विशेष कलबुर्गी से उसी तिथि को दोपहर 15:30 पर रवाना होगी और रात 23:50 को मिरज पहुँचेंगी।
कोच संरचना : 12 द्वितीय साधारण जनरल, 02 एसएलआर, कुल 14 ICF कोच

7 : 01209/10 कोल्हापुर – कुर्डुवाड़ी – कोल्हापुर प्रतिदिन अनारक्षित विशेष के 10 – 10 कुल 20 फेरे वाया मिरज, पंढरपुर
01209 विशेष कोल्हापुर से दिनांक 01 से 10 जुलाई तक प्रतिदिन पंढरपुर के लिए प्रातः 06:10 पर रवाना होगी और पंढरपुर होते हुए 13:30 बजे कुर्डुवाड़ी पहुँचेंगी। वापसी में 01210 विशेष कुर्डुवाड़ी से उसी तिथि को दोपहर 16:30 पर रवाना होगी और रात 22:30 को कोल्हापुर पहुँचेंगी।
कोच संरचना : 12 द्वितीय साधारण जनरल, 02 एसएलआर, कुल 14 ICF कोच


8 : 01207/08 पुणे – मिरज – पुणे प्रतिदिन अनारक्षित विशेष के 8 – 8 कुल 16 फेरे वाया दौंड जंक्शन, कुर्डुवाड़ी, पंढरपुर
01207 विशेष पुणे से दिनांक 03 से 10 जुलाई तक प्रतिदिन मिरज के लिए प्रातः 08:40 पर रवाना होगी और पंढरपुर होते हुए 18:45 बजे मिरज पहुँचेंगी। वापसी में 01208 विशेष मिरज से उसी तिथि को 19:30 पर रवाना होगी और अगले दिन प्रातः 04:30 को पुणे पहुँचेंगी।
कोच संरचना : 12 द्वितीय साधारण जनरल, 02 एसएलआर, कुल 14 ICF कोच

