27 जून 2025, शुक्रवार, आषाढ़, कृष्ण पक्ष, द्वितीया, विक्रम संवत 2082
आषाढ़ी एकादशी निमित्त देशभर से, विशेषकर महाराष्ट्र और कर्नाटक से लाखों की संख्या भक्त मंडली पंढरपुर की यात्रा करती है। इसे स्थानीय भाषा मे भक्त लोग ‘वारी’ कहते है और भक्तोंको वारकरी कहा जाता है। दरअसल यह सारी यात्राएं पैदल की जाती है। मगर कुछ लोग समय और स्वास्थ्य के चलते रेल गाड़ियोंसे भी पंढरपुर की यात्रा करते है।
हमने इससे पहले भी भुसावल मण्डल की कुछ विशेष गाड़ियोंकी सूची जारी की थी। आज द म रेल SCR, SWR और WR की गाड़ियोंकी सूची लेकर उपस्थित है।
द म रेल की नागरसोल – मिरज, अकोला – मिरज एवं आदिलाबाद – पंढरपुर वारी विशेष गाड़ियाँ

1: 07515/16 नागरसोल मिरज नागरसोल एक – एक फेरा विशेष (पंढरपुर होकर)
कोच संरचना : 01 वातानुकूलित प्रथम, 04 वातानुकूलित टू टियर, 13 वातानुकूलित थ्री टियर, 02 स्लिपर, 02 द्वितीय साधारण, 02 एसएलआर कुल 24 ICF कोच (07651/52 जालना छपरा जालना के रैक से संचालित)



2: 07505/06 अकोला – मिरज – अकोला एक – एक फेरा विशेष (पंढरपुर होकर)
कोच संरचना : 01 वातानुकूलित टू टियर, 02 वातानुकूलित थ्री टियर, 06 स्लिपर, 09 द्वितीय साधारण, 02 एसएलआर कुल 20 ICF कोच

3: 07501/02 आदिलाबाद – पंढरपुर – आदिलाबाद एकल फेरा विशेष
कोच संरचना : 01 वातानुकूलित टू टियर, 02 वातानुकूलित थ्री टियर, 06 स्लिपर, 09 द्वितीय साधारण, 02 एसएलआर कुल 20 ICF कोच

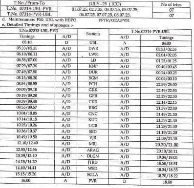
द प रेल (SWR) की हुब्बाली पंढरपुर हुब्बाली प्रतिदिन विशेष 01 जून से 08 जून तक (04 जून को छोड़कर)
07313/14 हुब्बाली पंढरपुर हुब्बाली प्रतिदिन विशेष
स्टोपेजेस : धारवाड़, अलनावर, लोंडा, खानापुर, देसुर, बेलगांवी, पिच्छापुर, गोकाक, घाटप्रभा, रायबाग, चिंचली, कुडाच्ची, उगर खुर्द, शेडबल, विजयनगर, मिरज, अरग, ढालगांव, जत रोड, वासुद, सांगोळा, पंढरपुर

पश्चिम रेल की दो जोड़ी वारी विशेष गाड़ियाँ
09081/82 और 09079/80 उधना मिरज उधना एकल फेरा वारी विशेष वाया नंदुरबार, नवापुर, शिंदखेड़ा, जलगाँव, मनमाड़, दौंड जंक्शन, कुरडुवाड़ी, पंढरपुर मिरज



