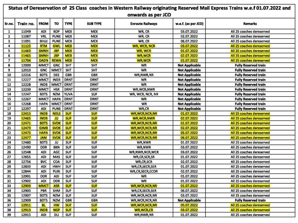
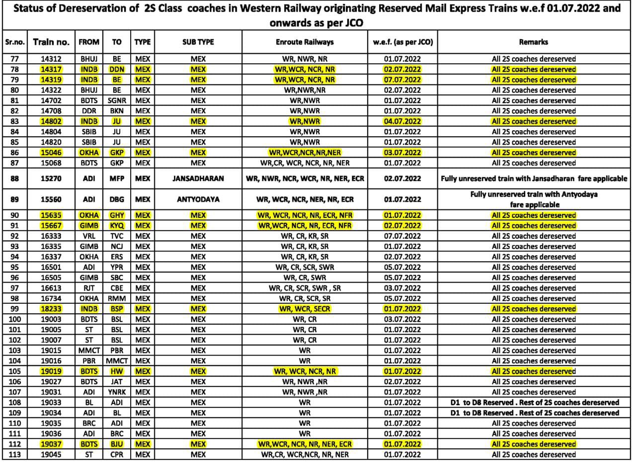
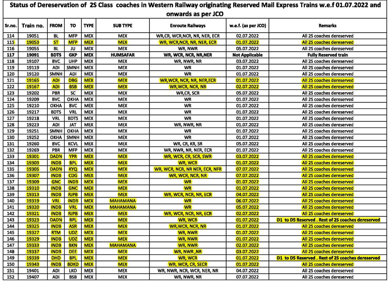
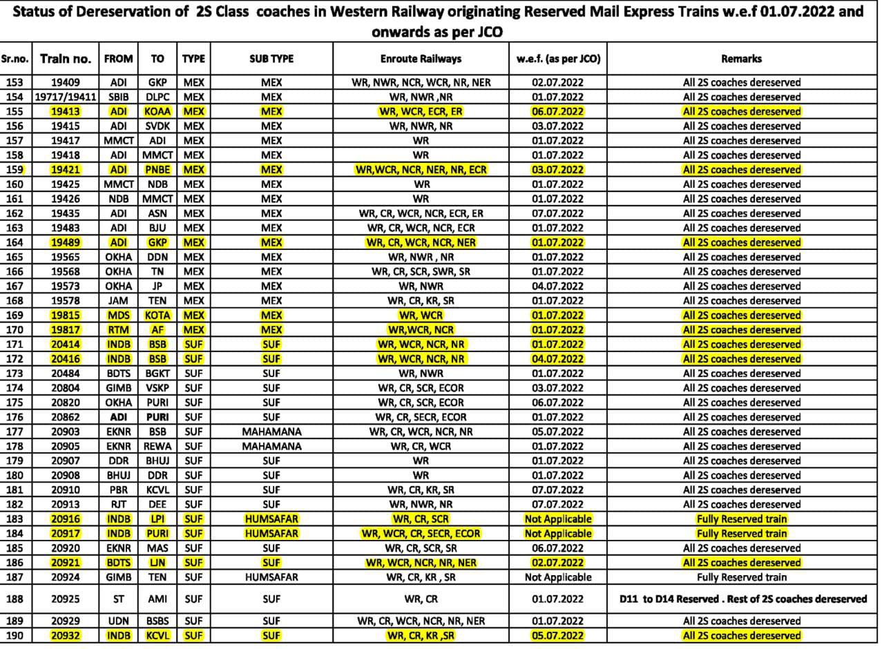
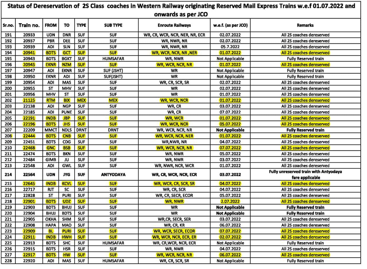
भारतीय रेल प्रशासन ने 28 फरवरी को अपने आदेश CC0 No. 06/2022 के तहत अनारक्षित टिकट सुविधाओं को संक्रमणपूर्व काल की स्थिति मे लाने की घोषणा की थी। चूंकि उस दिन तक द्वितीय श्रेणी अर्थात जनरल सीटींग मे 2S श्रेणी के भांति प्रति यात्री रु15/- आरक्षण शुल्क लेकर यात्रा की अनुमति दी गई थी और आनेवाले 120 दिनों तक बुकिंग खुली थी, यात्रीओंने कर भी रखी थी। इन्ही कारणों से परिपत्रक मे अनारक्षित टिकटों को 120 दिन बाद खोले जाने की बात हुई। अब कई यात्रीओंके मन मे यह विचार आएगा की उ म रेल, प म रेल और अन्य अन्य क्षेत्रीय रेलों ने अपने क्षेत्र मे अनारक्षित टिकटें 29 जून से पहले ही कैसे जारी कर दी? तो उसका उत्तर भी यहीं ARP अग्रिम आरक्षण अवधि ही है। जिन क्षेत्र मे द्वितीय श्रेणियों मे अग्रिम आरक्षण 29 जून तक नहीं हुवा था, उन्होंने अपनी आरक्षण बुकिंग 28 फरवरी से ही लॉक करना शुरू कर दिया और उससे उन्हे कहीं 1 मई, 1 जून ऐसी तिथियाँ मिल गई की वहाँ अनारक्षित टिकिटें खोली जा सकती थी। पश्चिम रेल, मध्य रेल और अन्य व्यस्ततम क्षेत्रीय रेल्वे को यह 120 दिनों की ARP की अवधि के लिए पूरा ही इंतजार करना पड़ा। खैर, इंतजार की घड़ियाँ हुई समाप्त और 29 जून से लेकर सप्ताह भर मे पूरे देशभर मे बहुतांश मेल/एक्सप्रेस और सुपरफास्ट गाड़ियोंमे द्वितीय श्रेणी अनारक्षित टिकटें शुरू हो जाएगी। इसी कड़ी मे पश्चिम रेल प्रशासन ने अपनी अनारक्षित आसन व्यवस्था उपलब्ध गाड़ियोंकी सूची जारी की है। आइए नजर डालते है,








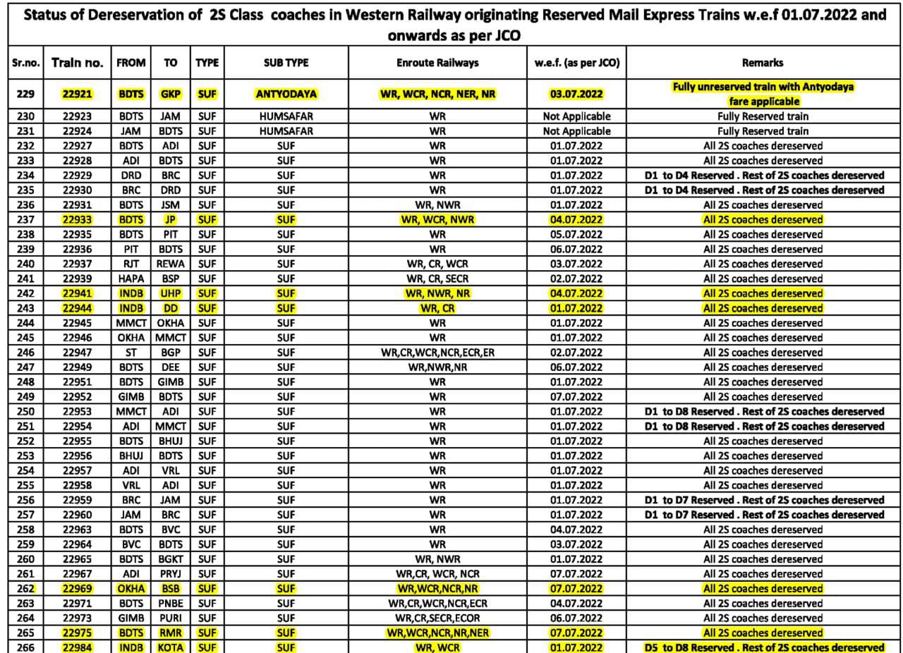
यह कुल 274 गाड़ियोंकी ऐसी सूची है, सभी गाड़ियाँ पश्चिम रेल क्षेत्र से गुजरती है। इसमें राजधानी, शताब्दी, दूरन्तो, हमसफ़र, तेजस, युवा, डबल डेकर और क्लोन गाड़ियाँ भी शामिल है जो सम्पुर्ण आरक्षित, वातानुकूलित गाडीयाँ है या ऐसी गाड़ियाँ जिनमे द्वितीय श्रेणी उपलब्ध ही नही है, अर्थात सूची में उन्हें ”नॉट ऐप्लिकेबल” ऐसा मार्क किया गया है। यात्री गण यह समझ लें जो जो गाड़ियाँ नॉन ऐप्लिकेबल मार्क है उन में आपको अनारक्षित टिकटें नही मिलेंगी। सूची में 22903/04 बान्द्रा टर्मिनस भुज बान्द्रा टर्मिनस वातानुकूलित एक्सप्रेस भी है जिसमे द्वितीय श्रेणी अनारक्षित उपलब्ध नही है।










