Uncategorised

‘अरे दीवानों, मुझे पहचानों…’

Video courtesy : Anirudha G, RailPost.in

स्वागत नही कीजियेगा, दख्खन की रानी का?

पुणे स्टेशन के यार्ड में इंटेग्रल कोच फैक्टरी से पहुंचे पांच नए LHB कोच अपनी बारी आने का इंतजार करते हुए! आशा है, मार्च के पहले सप्ताह तक इसके साथी अर्थात बाकी कोच भी पुणे पहुंच जाएंगे और पुणे – मुम्बई के बीच यात्री सेवा में हाजिर हो जाएंगे।

Uncategorised

क्या मध्य रेल प्रशासन की यह यात्री व्यवस्था सुबुद्ध और दुरुस्त है?

यह तस्वीर आज दि. 21/2/2022 के मराठी दैनिक ‘दिव्य मराठी’ जलगाँव दिव्य सिटी आवृत्ति से साभार प्रस्तुत की गई है।

संक्रमणकाल के निर्बंध अब महाराष्ट्र में लगभग न के बराबर है। स्कुल, कॉलेज खुल गए है, शैक्षिक संस्थानों की गतिविधियाँ बढ़ गयी है। शादी, ब्याह और अन्य सामाजिक कार्यक्रमों में उपस्थितियों पर भी अब अच्छी ढील मिल रही है। कल-कारखाने, व्यापार प्रतिष्ठान, उपज मंडियों में भी व्यवसाय निमित्त गतिविधियाँ बढ़ गयी है। ऐसे में इनसे सम्बन्धित तमाम लोग अपने घरोंसे निकल बाजारोंमें, व्यापार और सामाज में जाने-आने लगे है। बच्चे, युवा अपनी शिक्षा सम्बन्धी उधेड़बुन में लग गए है, क्लासेस में हाजिरी लगाने लग गए है और रेल प्रशासन है, की अब भी अपने निर्बंध खोलने को तैयार ही नही है, ना ही स्थानीय यात्रिओंके हितोंकी गाड़ियाँ चलवा रहा है, न ही द्वितीय श्रेणी सामान्य टिकटें उपलब्ध करवा रहा है।

इस दैनिक अखबार में छपी तस्वीर को आप प्रातिनिधिक स्वरूप में देखिए। मध्य रेल के प्रत्येक प्रमुख रेल मार्ग पर चलनेवाली हरेक गाड़ी के द्वितीय श्रेणी सामान्य डिब्बे की यह तस्वीर है। मध्य रेल प्रशासन ने अब तक मेल/एक्सप्रेस गाड़ियोंमे द्वितीय श्रेणी सामान्य श्रेणी आम यात्रिओंके के लिए खोली नही है। केवल एक-एक मेमू गाड़ी में यह व्यवस्था उपलब्ध है, जो हजारों सख्या के यात्रिओंके लिए समुचित नही है। द्वितीय श्रेणी के टिकट लेकर या प्रतिक्षासूची के टिकट लेकर या कभी कभी बिना टिकट यात्री रेल प्रशासन द्वारा आरक्षित द्वितीय श्रेणी 2S में मजबूरी में यात्रा करते पाए जाते है।

कहने को यह व्यवस्था आरक्षित है मगर कभी भी इन कोचेस में टिकट जांच निरीक्षक तैनात नही किये जाते। यहाँतक की स्लिपर क्लास के 8-10 कोचेस में भी आधे कोचेस की यही अवस्था रहती है। जब बिनाटिकट सामान्य यात्री रेलवे के गाड़ियोंमे क्या प्लेटफार्म और आहाते तक मन्जूर नही और अनाधिकृत समझा जाता है तो रेलगाड़ियोंमें इस तरह की भीड़ होना क्या रेल अधिकारियों को सम्मत है? रेल अधिकारी, टिकट जांच दल, सुरक्षा दल आँख मुन्द लेते है? ऐसी अनियंत्रित भीड़ प्रत्येक गाड़ियोंमे चली जा रही है तो क्या रेल अधिकारियों का कर्तव्य नही बनता की अपने उच्च स्तरीय अधिकारियों से स्थानीय यात्रिओंकी व्यवस्था बढवाने की माँग करें?

प्रश्न बहुतसे है, उनके समाधान भी सामने ही है मगर न ही रेल प्रशासन सक्रियता से उसे सुलझाने का प्रयत्न कर रही है और न ही स्थानीय प्रतिनिधि उसपर विशेष ध्यान दे रहे है। ऐसे में यह प्रतीत होता है, खानापूर्ति के लिए दिनभर में एखाद कार्रवाई की जाती रही है। क्योंकि एक-एक रेल गाड़ी की जाँच करने के लिए न ही रेलवे के पास समय है और न ही इतने संख्याबल में जांच कर्मी। ट्विटर पर शिकायत करें तो मण्डल अधिकारी का जवाब मिलता है,( भला हो तत्कालीन रेल मन्त्री सुरेश प्रभु का) ‘जाँच के लिए सम्बंधित अधिकारी को सौंपा गया है।’ मगर जाँच के बाद कार्रवाई क्या हुई यह आज तक न किसीने बताया है न ही किसीने समझा है।

कुल मिलाकर सारी व्यवस्था ‘अंधा पिसे, कुत्ता खावें’ वाली हो कर रह गयी है। रेलगाड़ियोंमे हजारों अधिकृत आरक्षित यात्रिओंके साथ-साथ सैकड़ों अनाधिकृत बिनाटिकट यात्री भी यात्रा कर ही रहे है, अनाधिकृत विक्रेता अब सरे-आम आरक्षित स्लिपर कोचेस के साथ वातानुकूलित कोचेस में भी अपने विक्री व्यवसाय करते नजर आ रहे है।

Uncategorised

भारतीय रेल की अभी भी नियमित समयसारणी नही; बदलाव जारी है।

कल हमने उत्तर रेल्वे के 4 गाड़ियोंके बदलाव प्रस्तुत किए थे, आज NFR पूर्वोत्तर सीमान्त रेल के बदलाव लीजिए,

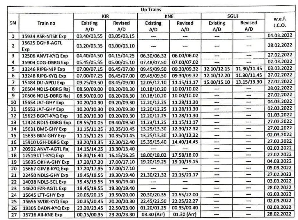
NFR रेल्वे मे कटिहार मण्डल मे 31 ‘डाउन’ गाडियाँ जो किशनगंज से कटिहार की ओर आएगी और 27 गाड़िया ‘अप’ जो कटिहार से किशनगंज, सिलीगुड़ी जंक्शन की ओर जाएगी, उनके PTT अर्थात यात्री समयसारणी मे बदलाव किए गए है। यह बदलाव गाड़ियोंके उत्तम समय अनुपालन हेतु किए जा रहे है।

निम्नलिखित 6 जोड़ी गाड़ियाँ, यात्री संख्या अभाव के चलते दिनांक 19 फरवरी से 31 मार्च 2022 तक अस्थायी रूप से रद्द की जा रही है।

Uncategorised

12447 मानिकपुर निजामुद्दीन उत्तरप्रदेश सम्पर्क क्रान्ति की समयसारणी में व्यापक बदलाव

UPSK उत्तरप्रदेश सम्पर्क क्रान्ति प्रतिदिन एक्सप्रेस दिनांक 25 फरवरी से मानिकपुर से बदले हुए समयसारणी से चलाई जाएगी। अभी फ़िलहाल की जो समयसारणी है उस में यात्रिओंकी माँग पर और उपयुक्त बदलाव किए जा रहे है। यह गाड़ी अब 17:05 के स्थान पर 18:25 को मानिकपुर से रवाना होगी और अलसुबह 3:50 के बजाय सुबह 5:22 को हज़रत निजामुद्दीन को पहुचेंगी।

यात्रीगण से निवेदन है निम्नलिखित समयसारणी में पहले दो कॉलम में existing wtt और existing ptt यह समय दिए गए है जो रेल परिचालनिक उपयोग हेतु है। तीसरे कॉलम में revised wtt यह भी रेल परिचालन विभाग के लिए ही है। आखरी चौथे कॉलम की revised ptt यह समयसारणी आम यात्रिओंके लिए है। दिनांक 25 फरवरी, मानिकपुर से चलने के बदले हुए समय यह रहेंगे।

चूँकि 12447 मानिकपुर निजामुद्दीन उत्तरप्रदेश संपर्क क्रांति के समय मे बदलावोंके चलते 12917 अहमदाबाद निजामुद्दीन गुजरात सम्पर्क क्रांति साप्ताहिक एक्सप्रेस, 20945 एकतानगर (केवडिया) निजामुद्दीन द्विसाप्ताहिक एक्सप्रेस और 12217 कोचुवेळी चंडीगढ़ द्विसाप्ताहिक एक्सप्रेस के हज़रत निजामुद्दीन स्टेशन के आवागमन समय मे मामुली सा बदलाव होने जा रहा है। यात्रीगण कृपया इस बात की भी जानकारी रखे।