Uncategorised

आखिरकार दया आ ही गयी!

01059/60 मध्य रेल CR की ओरसे उक्त गाड़ी लोकमान्य तिलक टर्मिनस से गोरखपुर के बीच दो फेरे नियोजित किये गये है।

मध्य रेल्वे मुम्बई गोरखपुर के बीच लगातार विशेष गाड़ियाँ घोषित करते जा रहा है। अबकी बार मध्य रेल ने लोकमान्य तिलक टर्मिनस से चलनेवाली विशेष में 3 कोच द्वितीय श्रेणी सामान्य और एक एसएलआर अर्थात आधा कोच, कुल साढ़े तीन कोच, लगभग 350 सीटें अनारक्षित रखने का निर्णय लिया है। गौरतलब यह है, लम्बी दूरी की यह पहली गाड़ी है, जिसमे अनारक्षित टिकट उपलब्ध कराए जा रहे। उत्तरी भारत मे जानेवाली गाड़ियोंकी बेतहाशा भीड़ को देखते हुए मध्य रेल के इस निर्णय का हम हार्दिक स्वागत करते है।

यात्रीगण से निवेदन है, कृपया निम्नलिखित गाड़ी में अनारक्षित टिकट व्यवस्था का लाभ ले।

01059/60 लोकमान्य तिलक टर्मिनस गोरखपुर लोकमान्य तिलक टर्मिनस विशेष गाड़ी की समयसारणी
Uncategorised

उत्तर पश्चिम रेलवे NWR में पीपाड़ रोड – खरिया खानगढ़ के बीच रेल दोहरीकरण के चलते रेल ब्लॉक, 13 से 24 जून तक गाड़ियाँ रहेंगी बाधित

कृपया विस्तृत जानकारी के लिए परिपत्रक जोड़े गए है। यात्रीगण से निवेदन है, JCO – तिथियों की, मार्ग परिवर्तन और आंशिक रद्द में रद्द किए गए मार्ग की जानकारी पर ध्यान दे।

कुल गाड़ियोंपर प्रभाव पड़नेवाला है।

आंशिक रद्द गाड़ियाँ : – सूचना में दी गयी तारीख JCO अर्थात गाड़ी के प्रारम्भिक स्टेशन से छूटने की तारीख है।

1: 14891/92 जोधपुर हिसार जोधपुर प्रतिदिन एक्सप्रेस गाड़ी दिनांक 12 से 22 जून तक जोधपुर – मेड़ता रोड के बीच रद्द रहेगी।

2: 22421/22 दिल्ली सराय रोहिल्ला जोधपुर दिल्ली सराय रोहिल्ला प्रतिदिन एक्सप्रेस 12 से 23 जून तक जोधपुर से डेगाणा और 12 से 23 जून तक डेगाणा से जोधपुर के बीच रद्द रहेगी। अर्थात इन दिनोंमें यह गाड़ी दिल्ली सराय रोहिल्ला से डेगाणा के बीच ही चलेगी।

3: 12307 हावडा जोधपुर सुपरफास्ट एक्स्प्रेस दिनांक 11 जून से 21 जून तक हावडा से मेड़तारोड के बीच ही चलाई जाएगी। उसी प्रकार 12308 जोधपुर हावड़ा सुपरफास्ट एक्सप्रेस 13 जून से 23 जून तक जोधपुर की जगह मेड़तारोड से हावड़ा के लिए रवाना की जायगी। उक्त गाड़ी मेड़तारोड से जोधपुर के बीच रद्द रहेगी। यात्रीगण कृपया तिथियोंको परिपत्रक से एव रेलवे की हेल्पलाइन, वेबसाइट द्वारा अवश्य ही समझ ले।

4: 12465/66 इन्दौर जोधपुर इन्दौर सुपरफास्ट 13 से 23 जून तक इन्दौर – जयपुर के बीच ही चलेगी। जयपुर से जोधपुर के बीच रद्द रहेगी।

5: 14821 जोधपुर बठिण्डा प्रतिदिन एक्सप्रेस एवं 14822 अबोहर जोधपुर प्रतिदिन एक्सप्रेस गाड़ी दिनांक 12 से 23 जून तक बीकानेर से बठिण्डा एवं अबोहर से बीकानेर के बीच चलेगी। जोधपुर से बीकानेर के बीच रदद् रहेगी।

पूर्णतयः रद्द गाड़ियाँ :-

1: 14823/24 जोधपुर रेवाड़ी जोधपुर प्रतिदिन एक्सप्रेस दिनांक 13 से 24 जून तक पूर्णतयः रद्द रहेगी।

2: 14813/14 जोधपुर भोपाल जोधपुर प्रतिदिन एक्सप्रेस दिनांक 11 से 23 जून तक पूर्णतयः रद्द रहेगी।

3: 22977/78 जयपुर जोधपुर जयपुर प्रतिदिन एक्सप्रेस दिनांक 18 से 21 जून तक पुर्णतयः रद्द रहेगी।

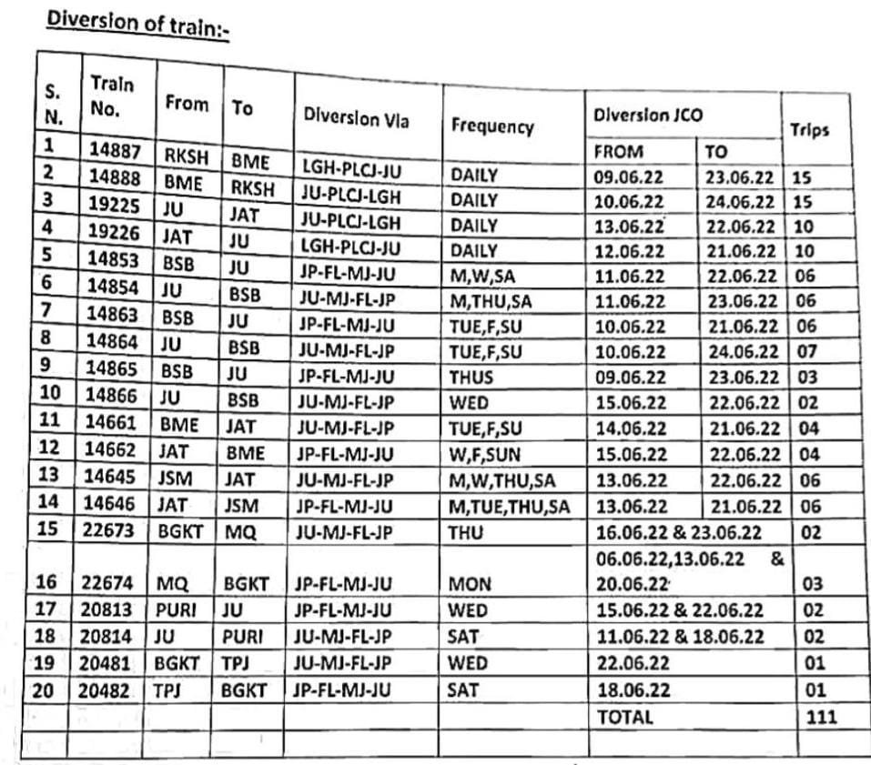
मार्ग परिवर्तन करके चलनेवाली गाड़ियाँ :- निम्नलिखित 20 गाड़ियाँ अपने नियमित मार्ग मेड़तारोड – जोधपुर के बजाय मार्ग परिवर्तन कर चलेंगी। यात्रीगण कृपया तिथियों और बदले हुये मार्ग पर ध्यान दें।

परिपत्रक में सभी उधृत तिथियाँ JCO अर्थात गाडीके प्रारंभिक प्रस्थान स्टेशन की तिथियाँ है। यह गाड़ी समयसारणी के अनुसार आपके बोर्डिंग स्टेशनपर कब आएगी यह अवश्य समझ ले और उस प्रकार से अपनी रेल यात्रा का नियोजन करें।

यह प्रस्तावित सूची अभी रेल प्रशासन के विचाराधीन है और अंततया निर्णय के समय तिथियों या गाड़ियोंमे कुछ बदलाव भी किया जा सकता है।

Uncategorised

पूर्वोत्तर रेल NER के गोण्डा मे रेल ब्लॉक, मुम्बई की गाड़ियाँ रदद् की बजाय मार्ग बदल कर चलाई जाएंगी।

पूर्व नियोजित रदद् गाड़ियोंकी सूची में बदलाव कर गाड़ियोंको मार्ग परिवर्तन कर चलाया जाएगा।

रदद् गाड़ियाँ : –

यह गाड़ियाँ पूर्व नियोजन में रदद् की गई थी, जिन्हें अब मार्ग बदल कर चलाया जाएगा।

आंशिक रदद् गाड़ियाँ :-

समयसारणी में नियंत्रण कर चलाये जानेवाली गाड़ियाँ :-

इसके अलावा और भी गाड़ियाँ है जो पूर्व मध्य रेल ECR क्षेत्र से चलती है और गोण्डा रेल ब्लॉक की वजह से रदद्, आंशिक रदद्, मार्ग परिवर्तन कर चलेंगी।